1. INTRODUCCIÓN
Debido a las condiciones de sitio peculiares que se presentan por la gran capacidad de deformación del suelo, se deben considerar los efectos de interacción suelo-estructura. Éste consiste en un conjunto de efectos cinemáticos e inerciales producidos entre la estructura y el suelo como resultado de su capacidad de deformación ante una excitación sísmica.
La interacción Suelo-Estructura (ISE) modifica las propiedades dinámicas relevantes que tendría la estructura supuesta con base indeformable, así como las características del movimiento del suelo en las cercanías del sistema de cimentación (Avilés y Perez-Rocha 2004). Dicho efecto es de suma importancia para estructuras flexibles desplantadas en suelos con periodos de sitio predominantemente largos.
El uso del efecto de la ISE se ve reflejado en el incremento del periodo y el amortiguamiento asociado, dependiendo del periodo resonante de la estructura en el espectro de respuesta (Avilés y Perez-Rocha 1998). Por otra parte, los desplazamientos y demandas de resistencia incrementan o reducen dependiendo principalmente de la relación de periodos entre la estructura y el sitio; sin embargo, estos efectos disminuyen conforme la capacidad de deformación del sistema estructural es mayor (Avilés y Perez-Rocha 2005).
Para tomar en cuenta los efectos de la ISE hay tres conceptos primordiales que son necesarios conocer y que se ilustran con la figura 1:
- Efecto de Sitio: Es la respuesta que se presenta en un lugar ante un evento sísmico, influenciado por las condiciones geológicas, topográficas locales y en gran medida por las propiedades mecánicas del subsuelo. Es decir, dado que el suelo que descansa sobre el terreno firme (punto A) tendrá propiedades distintas, significa que el movimiento entre los puntos A, B y C serán diferentes, incluso en ausencia de la cimentación.
- Interacción Cinemática: Es la modificación del movimiento de campo libre, debido a la presencia de la cimentación. Es decir, toma en cuenta que la cimentación, que es un elemento de mayor rigidez que el suelo, introduce una excitación rotacional en la base de la cimentación (punto D), ya que los puntos C y B no pueden moverse independientemente entre ellos. Es decir, se generan movimientos traslacionales y desplazamientos debido a giros en el sistema suelo-cimentación. Estos dos movimientos corresponden a un movimiento de cuerpo rígido de la superestructura respecto al terreno.
- Interacción Inercial: Es el desplazamiento relativo de la cimentación respecto al terreno, producido por las fuerzas de inercia de la superestructura sobre el sistema suelo-cimentación. La interacción inercial puede incrementar o reducir las fuerzas de diseño con respecto a los valores que corresponden a base rígida, dependiendo del periodo y amortiguamiento efectivos del sistema y de la forma del espectro de diseño.
La interacción Suelo-Estructura (ISE) es de suma importancia para estructuras desplantadas en suelos con gran capacidad de deformación debido a que modifica las propiedades dinámicas de la estructura. Por tal motivo se debe realizar un modelado riguroso y con los programas de midas permite la interacción entre los programas midas Gen y GTS NX para las distintas revisiones del proyecto con las diferentes consideraciones de modelado del suelo. Por ejemplo, en midas Gen el suelo se modela como un conjunto de resortes que contemple la rigidez y el amortiguamiento del suelo (Método Indirecto); mientras que con GTS NX el suelo se modela como un medio continuo con elementos sólidos y modelos constitutivos no lineales (Método Directo).

Figura 1 Efectos de la interacción suelo-estructura
2. CONDICIONES DE FRONTERA ELÁSTICOS
Las condiciones de frontera elásticos (resortes) se utilizan para definir la rigidez de las estructuras o cimentaciones contiguas. También se utilizan para evitar que se produzcan errores singulares en los nodos de conexión de elementos con grados de libertad limitados, como los elementos truss, los de esfuerzos planos, elementos placa, etc.
Los apoyos con resortes en un nodo se pueden expresar en términos de hasta seis grados de libertad, tres componentes de traslación y tres de rotación con respecto al Sistema de Coordenadas Global (SCG). Los componentes del resorte de traslación y rotación se representan en términos de fuerza unitaria por unidad de longitud y momento unitario por unidad de radianes, respectivamente (figura 2a).

(a) Modelado de la condición de frontera utilizando apoyos con resortes puntuales

(b) Modelado de condiciones de frontera utilizando apoyos con resortes de superficie
Figura 2 Ejemplos de modelado de apoyos con resortes.
Los apoyos con resortes se aplican fácilmente para reflejar la rigidez de las columnas, pilotes o las condiciones del suelo. Al modelar subsuelos para cimentaciones, el módulo de reacción de la subrasante se multiplica por las áreas tributarias de los nodos correspondientes (figura 2b). En este caso, se advierte que los suelos solo pueden soportar compresión.
MIDAS Gen proporciona resortes de superficie (Surface Spring Supports) para modelar fácilmente las condiciones de frontera con la interfaz del suelo. El resorte de superficie se selecciona en Model>Boundary>Surface Spring Supports y el módulo de reacción de la subrasante se especifica en cada dirección. Después, la propiedad del suelo se aplica a las áreas efectivas de los nodos individuales para producir la rigidez del resorte puntual como condición de frontera. Para reflejar las verdaderas características del suelo, que solo pueden admitir compresión, se selecciona la opción compression-only y se ingresa el módulo de reacción de la subrasante para la condición de frontera (figura 2).

Figura 2 Uso de la función Surface Spring Supports.
La tabla 1 resume los módulos de reacción de subrasante para suelos que normalmente se pueden encontrar en la práctica profesional. Se recomienda que los valores máximos y mínimos se utilicen por separado, y que se adopten valores conservadores a discreción para el diseño. La rigidez axial de los apoyos de resorte para columnas o pilotes se puede calcular mediante EA / H, donde E es el módulo de elasticidad para columnas o pilotes, A es el área de sección transversal efectiva y H es la longitud efectiva.
Tabla 1 Valores típicos de los módulos de reacción de la subrasante para suelos
|
Tipo de Suelo |
Módulo de reacción (KN/m3) |
|
Arcilla flexible |
12000 ~ 24000 |
|
Arcilla medianamente rígida |
24000 ~ 48000 |
|
Arcilla rígida |
48000~ 112000 |
|
Arena suelta |
4800 ~ 16000 |
|
Arena medianamente densa |
9600 ~ 80000 |
|
Arena limosa de densidad media |
24000 ~ 48000 |
|
Grava arcillosa |
48000 ~ 96000 |
|
Arena arcillosa de densidad media |
32000 ~ 80000 |
|
Arena densa |
64000 ~ 130000 |
|
Arena muy densa |
80000~ 190000 |
|
Grava limosa |
80000~ 190000 |
Las componentes de los resortes rotacionales se utilizan para representar la rigidez rotacional de los límites contiguos de la estructura en cuestión. Si los límites contiguos son columnas, la rigidez se calcula mediante αEI/H, donde α es un coeficiente de rigidez rotacional, I es el momento de inercia efectivo y H es la longitud efectiva.
Generalmente, los apoyos de resortes en un nodo se ingresan en la dirección de cada grado de libertad. Sin embargo, para análisis más precisos, es necesario considerar la rigidez acoplada adicional asociada con otros grados de libertad. Es decir, los resortes que representan la rigidez acoplada pueden resultar necesarios para reflejar los desplazamientos de rotación acompañados de desplazamientos de traslación. Por ejemplo, puede ser necesario modelar la cimentación con pilotes como una condición de frontera con resortes. Se podría realizar un análisis más riguroso introduciendo la rigidez rotacional acoplada además de la rigidez traslacional en cada dirección.
Los apoyos con resortes especificados en un nodo, en general, siguen el Sistema Coordenado Global (SCG) a menos que se especifique un Sistema Coordenado local del Nodo (SCN), en cuyo caso se definen en relación con el SCN. Es probable que se produzcan errores singulares cuando los componentes de rigidez en ciertos grados de libertad son deficientes después de formular la matriz de rigidez. Si los componentes de rigidez rotacional son necesarios para evitar este tipo de errores, se recomienda utilizar valores de 0,0001 a 0,01. El intervalo de valores puede variar dependiendo del sistema de unidades utilizado. Para evitar errores singulares, MIDAS Gen proporciona una función que asigna automáticamente valores de rigidez, que son insignificantes para afectar los resultados del análisis.
3. RESORTES PARA PILAS O PILOTES
En midas Gen, también existe una función llamada “Pile Spring Supports” que asigna resortes para los suelos adyacentes a las pilas. Los resortes laterales para los suelos adyacentes a las pilas o pilotes se modelan como resortes elásticos no lineales simétricos y los resortes verticales para los suelos adyacentes a los pilotes se modelan como resortes elásticos lineales.
La rigidez de los resortes del suelo se calcula automáticamente y se representan como resortes puntuales. Dependiendo del tipo de suelo que se elija (arena, arcilla flexible, arcilla rígida), los cálculos de rigidez del suelo toman consideraciones diferentes como se detalla a continuación. La relación entre la resistencia lateral del suelo y el desplazamiento lateral Y a una profundidad específica X se representa como se muestra en la figura 3. Los valores de Pk, Pm, Pu, Yk, Ym y Yu se definen a una profundidad específica (es decir, donde se encuentran los pilotes). El método para calcular Pu varía según los tipos de suelo. Los valores de Pk, Pm, Yk, Ym y Yu se calculan utilizando Pu como se explica a continuación. El método de cálculo se divide en dos casos principales: arena y arcilla, y se utilizan diferentes valores de J para las arcillas suaves y las arcillas rígidas respectivamente.

Figura 3. Cálculo de rigidez para resortes de pilas o pilotes
3.1. Cálculo de Pu en el caso de arenas
El valor de Xt denota la profundidad cuando los siguientes dos valores de Pu son iguales. Midas Gen iguala los términos de las dos ecuaciones, reorganiza la ecuación en términos de X y resuelve la ecuación cuadrática.
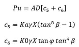
Si X < Xt

Si X > Xt

Donde,
Pu: Resistencia última del suelo por unidad de longitud
A: Factor de ajuste empírico
X: Profundidad bajo la superficie del suelo
D: Diámetro de la pila
K0: Coeficiente de presión de tierra pasivo
Ka: Coeficiente de presión de tierra activo ![]()
φ: Ángulo de fricción interna de la arena
α: ![]()
β: 45+ ![]()
γ: Peso volumétrico del suelo
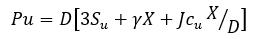
3.2. Cálculo de Pu en el caso de arcillas
Para X < XR

Para X > XR

Donde,
Pu: Resistencia última del suelo por unidad de longitud
Su: Resistencia a corte sin drenar
Cu: Cohesión sin drenado
γ: Peso volumétrico del suelo
D: Diámetro de la pila
J: Constante empírica (0.5 para arcillas flexibles y 0.25 para arcillas rígidas)
X: Profundidad bajo la superficie del suelo
XR:
4. REFERENCIAS
Avilés, J y LE Perez-Rocha (1998). “Site effects and soil-structure interaction in the Valley of Mexico”. Soil Dynamics and Earthquake Engineering, No. 17, pp. 29-39.
Avilés, J y LE Perez-Rocha (2004). “Bases para las nuevas disposiciones reglamentarias sobre interacción dinámica suelo-estructura”. Revista de Ingeniería Sísmica, No. 71, pp. 1-36.
Avilés, J y LE Perez-Rocha (2005). “Design concepts for yielding structures on flexible foundation”. Engineering Structures, No. 27, pp. 443–454.
MIDAS (2023), Integrated design systems for buildings and general structures, MIDAS Gen v.1.1, Midas Information Technology Co. Ltd.

